[Silver / 1991] 트리 순회
🔷 분류
트리, 재귀
✒️ 문제 설명
이진 트리를 입력받아 전위 순회(preorder traversal), 중위 순회(inorder traversal), 후위 순회(postorder traversal)한 결과를 출력하는 프로그램을 작성하시오.

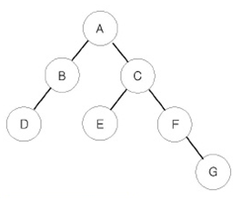
예를 들어 위와 같은 이진 트리가 입력되면,
- 전위 순회한 결과 : ABDCEFG // (루트) (왼쪽 자식) (오른쪽 자식)
- 중위 순회한 결과 : DBAECFG // (왼쪽 자식) (루트) (오른쪽 자식)
- 후위 순회한 결과 : DBEGFCA // (왼쪽 자식) (오른쪽 자식) (루트)
가 된다.
⬅️ 입력
첫째 줄에는 이진 트리의 노드의 개수 N(1 ≤ N ≤ 26)이 주어진다. 둘째 줄부터 N개의 줄에 걸쳐 각 노드와 그의 왼쪽 자식 노드, 오른쪽 자식 노드가 주어진다. 노드의 이름은 A부터 차례대로 알파벳 대문자로 매겨지며, 항상 A가 루트 노드가 된다. 자식 노드가 없는 경우에는 .으로 표현한다.
➡️ 출력
첫째 줄에 전위 순회, 둘째 줄에 중위 순회, 셋째 줄에 후위 순회한 결과를 출력한다. 각 줄에 N개의 알파벳을 공백 없이 출력하면 된다.
💻 코드 (C++)
#include <iostream>
#include <vector>
using namespace std;
struct Node {
char data;
char left;
char right;
};
vector<Node> t(26);
void pre_order(char cur) {
if (cur == '.') return;
cout << cur;
pre_order(t[cur - 'A'].left);
pre_order(t[cur - 'A'].right);
}
void in_order(char cur) {
if (cur == '.') return;
in_order(t[cur - 'A'].left);
cout << cur;
in_order(t[cur - 'A'].right);
}
void post_order(char cur) {
if (cur == '.') return;
post_order(t[cur - 'A'].left);
post_order(t[cur - 'A'].right);
cout << cur;
}
int main() {
ios::sync_with_stdio(0);
cin.tie(0);
int n;
cin >> n;
for (int i = 0; i < n; i++) {
char p, l, r;
cin >> p >> l >> r;
t[p - 'A'] = {p, l, r};
}
pre_order('A');
cout << "\n";
in_order('A');
cout << "\n";
post_order('A');
cout << "\n";
return 0;
}
공유하기
Twitter Facebook LinkedIn글 이동
Comments